上海剂拓材料科技提供差示扫描量热(DSC)测试固化度及固化动力学参数测试服务。
- 原理理:环氧固化、异氰酸酯反应、氧化交联等均属于放热反应。
- 曲线特征:显著放热峰。
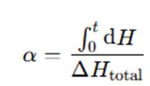
- 研发可获得的信息:
(1) 固化程度(α)
(2) 剩余反应热
判断固化是否完全、后续烘烤是否需要。
(3) 固化动力学参数
使用 Ozawa、Kissinger 方法可求活化能 Ea:

上海剂拓材料科技提供差示扫描量热(DSC)测试固化度及固化动力学参数测试服务。
(2) 剩余反应热
判断固化是否完全、后续烘烤是否需要。
(3) 固化动力学参数
使用 Ozawa、Kissinger 方法可求活化能 Ea:
